
近日,林学系纪颖教授团队在中科院2区农林科学领域学术期刊《Food and Environmental Virology》发表题为 “Isolation and Identification of Postharvest Rot Pathogens inCitrus×tangeloand their Potential Inhibition with Acidic Electrolyzed Water” 的研究论文。纪颖教授为第一作者,并为本文通信作者,福建林业职业技术学院为第一完成单位。该研究得到了福建省科学技术厅自然科学基金项目(2022J01388)的资助。
这是纪颖教授课题组在农林科学类期刊上发表了第二篇SCI论文,两篇论文均围绕桔柚采后病害和保鲜展开,包括病原菌分离与鉴定、壳聚糖涂抹技术、酸性电解水抑菌技术等,为新型保鲜方法在桔柚贮藏中的应用提供了理论依据和技术支持。团队在纪颖教授带领下,围绕绿色健康和生态环保的新型保鲜技术,以特色农产品为原料,有力推动桔柚产业发展,是一支服务乡村振兴的科研创新团队。
•研究背景•
Citrus×tangelo(tangelo) is a modern Japanese hybrid citrus cultivar developed from a cross between the femaleCitrus unshiu(mandarin) and the maleCitrus hassaku(Hassaku orange). Tangelo is distinguished by its orange-yellow color, rough skin, and oblate shape. Its pulp is orange-red, tender, and juicy, making it a widely consumed fruit. However, its susceptibility to minor injuries during harvesting and transportation renders it prone to pathogen infection during storage. Such infections lead to fruit softening, rotting, and the development of an unpleasant odor, ultimately diminishing its commercial value. Therefore, elucidating the pathogens responsible for postharvest diseases in tangelo and seeking efficient, environmentally friendly, and safe storage and preservation methods have become key challenges in advancement of the tangelo industry. The precise causes of postharvest rot in tangelo fruits remain unclear, hindering timely prevention and control measures.This study aimed to isolate and purify pathogenic fungi from postharvest diseased tangelo fruits, validate their pathogenicity through inoculation test, and use molecular techniques to identify the dominant fungi responsible for postharvest rot disease. Concurrently, AEW was subjected to in-vitro antifungal experiments, and antifungal activity was screened through indoor toxicity evaluation. The optimal concentration of AEW was selected for preliminary exploration of its antifungal efficacy.
•成果介绍•
This study focused on the identification of rot-causing fungi inCitrus×tangelo(tangelo) with a particular emphasis on investigating the inhibitory effects of acidic electrolyzed water on the identified pathogens.
Part.1
The dominant strains responsible for postharvest decay were isolated from infected tangelo fruits and characterized through morphological observation, molecular identification, and pathogenicity detection. Two strains were isolated from postharvest diseased tangelo fruits, cultured and morphologically characterized, and had their gene fragments amplified using primers ITS1 and ITS4. The results revealed the rDNA-ITS sequence of two dominant pathogens were 100% homologous with those ofPenicillium citrinumandAspergillus sydowii. These isolated fungi were confirmed to induce tangelo disease, and subsequent re-isolation validated their consistency with the inoculum.
Part.2
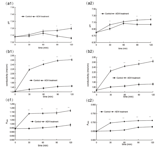
Antifungal tests demonstrated that acidic electrolyzed water (AEW) exhibited a potent inhibitory effect onP. citrinumandA. sydowii, with EC50 values of 85.4 μg/mL and 60.12 μg/mL, respectively. The inhibition zones of 150 μg/mL AEW to 2 kinds of pathogenic fungi were over 75 mm in diameter. Furthermore, treatment with AEW resulted in morphological changes such as bending and shrinking of the fungal hyphae surface. In addition, extracellular pH, conductivity, and absorbance at 260 nm of the fungi hypha significantly increased post-treatment with AEW. Pathogenic morphology and IST sequencing analysis confirmedP. citrinumandA. sydowiias the primary pathogenic fungi, with their growth effectively inhibited by AEW.
•图表赏析•

Fig. 1 Morphological characteristics of pathogenic fungi. (a) Cultures of strain TF1 on PDA. (b) The mycelium and conidia of strain TF1. (c) Cultures of strain TF2 on PDA. (d) The mycelium and conidia of strain TF2.

Fig. 2 Gel electrophoretic assay of the pathogenic fungi PCR fragments. (M), (a), and (b )represent Marker DL 2000, TF1, and TF2 amplification products, respectively
Table 1 The sequence identification information of pathogenic fungi was carried out on NCBI.


Fig. 3 Phylogenetic tree based on ITS sequences of strain TF1.

Fig. 4 Phylogenetic tree based on ITS sequences of strain TF2

Fig. 5 Symptoms of tangelo fruits inoculated with two kinds of pathogens
Table 2 The results of toxicity test of AEW to pathogenic fungi


Fig. 6 Effect of AEW (EC50 ) on tangelo fruits disease index.

Fig. 7 Effect of AEW on the morphology of pathogenic fungi.

Fig. 8 Effect of AEW on pathogenic fungal extracellular pH, conductivity, and the release of cellular components. (a1), ( b1), and (c1)P. citrinumtreated with AEW: (a2), (b2), and( c2)A. sydowiitreated with AEW.
该研究得到了福建省科学技术厅自然科学基金项目(2022J01388)的资助。

纪颖,女,中共党员,教授,高级工程师。省级课程思政教学名师、省级专业带头人、省级科技特派员。主要从事食品分析与检测、农产品贮藏与保鲜、功能性物质提取与鉴定的研究。荣获福建省高校优秀共产党员称号,福建省高校“双带头人”教师党支部书记。指导学生获全国高职院校技能大赛一等奖2项、二等奖5项、三等奖1项,获福建省高职院校技能大赛一等奖10项,省级教学能力竞赛一等奖1项、三等奖1项,获国家级优秀指导教师2次、省级优秀指导教师10次。先后主持省自然科学基金项目1项、省教育厅科研课题3项、市自然科学基金项目1项、市科协项目1项,省级教研课题2项。发表期刊论文22篇,主编规划教材1部、参编规划教材2部。
。